lab5:эксперимент54

1. Установите на осциллографе развертку луча 2,5 мс. Оставляя развертку неизменной, запишите синусоидальный сигнал с осциллографа для частот 50 Гц, 250 Гц, 1,5 кГц, 5,0 кГц, 20 кГц, 50 кГц, 300 кГц, 500 кГц. Сигнал необходимо записывать в текстовом виде. С помощью специализированных программ (MathCad, Matlab, Maple) постройте спектры полученных сигналов, объясните полученные графики. Определите минимальную и максимальную частоты, регистрируемые данным осциллографом при выбранной развертке.

2. Установите генератор в режим генерации прямоугольных импульсов. Запишите сигнал в текстовом виде. С помощью специализированных программ (MathCad, Matlab, Maple) постройте спектры полученных сигналов, объясните полученные графики. Сравните полученные данные с уравнением 2, объясните наличие в спектре всех частот.

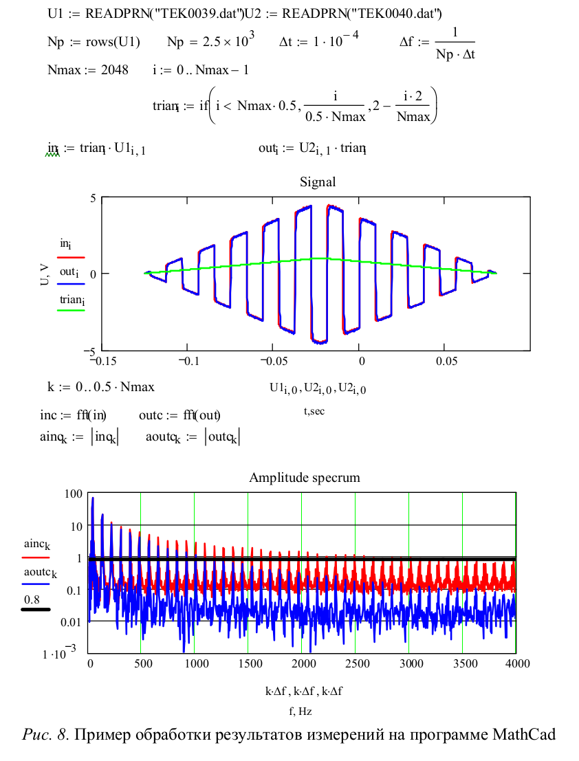
3. Воспользовавшись тем, что в спектре прямоугольного импульса содержатся все частоты, оцените амплитудно-частотную характеристику фильтров низких частот, высоких частот и многозвенного (см. рис. 5 и 6). Для этого установите на генераторе сигналов режим прямоугольных сигналов с частотой примерно 50 Гц. Выберите развертку осциллографа 25 мс/дел. На рис. 7 показан возможный вид экрана осциллографа в указанном режиме. Подавая прямоугольный сигнал на входы фильтров, запишите одновременные осциллограммы для выходного и входного сигналов в текстовом виде. По полученным данным рассчитайте АЧХ фильтров. При этом учитывайте, что из рассмотрения нужно исключить гармоники с малой амплитудой, так как полученные с их использованием данные содержат большую погрешность. При обработке результатов рекомендуется использовать треугольное окно. Пример обработки на программе MathCad показан на рис. 8 .